Jump to content

Requests for technical support from the VASP team should be posted in the VASP Forum.

Calculate U for LSDA+U

From VASP Wiki

Task

In this exercise, you will calculate the U parameter for the DFT+U treatment of Ni d-electrons in NiO using the linear response ansatz of Cococcioni et al..[1]

POSCAR

For this calculation we will use a 2×2×2 supercell of AFM-II NiO:

AFM  NiO
   4.03500000 
 2.0000000000   1.0000000000   1.0000000000 
 1.0000000000   2.0000000000   1.0000000000 
 1.0000000000   1.0000000000   2.0000000000 
  1 15   16 
Direct
 0.0000000000   0.0000000000   0.0000000000 
 0.2500000000   0.2500000000   0.2500000000 
 0.0000000000   0.0000000000   0.5000000000 
 0.2500000000   0.2500000000   0.7500000000 
 0.0000000000   0.5000000000   0.0000000000 
 0.2500000000   0.7500000000   0.2500000000 
 0.0000000000   0.5000000000   0.5000000000 
 0.2500000000   0.7500000000   0.7500000000 
 0.5000000000   0.0000000000   0.0000000000 
 0.7500000000   0.2500000000   0.2500000000 
 0.5000000000   0.0000000000   0.5000000000 
 0.7500000000   0.2500000000   0.7500000000 
 0.5000000000   0.5000000000   0.0000000000 
 0.7500000000   0.7500000000   0.2500000000 
 0.5000000000   0.5000000000   0.5000000000 
 0.7500000000   0.7500000000   0.7500000000 
 0.1250000000   0.1250000000   0.1250000000 
 0.3750000000   0.3750000000   0.3750000000 
 0.1250000000   0.1250000000   0.6250000000 
 0.3750000000   0.3750000000   0.8750000000 
 0.1250000000   0.6250000000   0.1250000000 
 0.3750000000   0.8750000000   0.3750000000 
 0.1250000000   0.6250000000   0.6250000000 
 0.3750000000   0.8750000000   0.8750000000 
 0.6250000000   0.1250000000   0.1250000000 
 0.8750000000   0.3750000000   0.3750000000 
 0.6250000000   0.1250000000   0.6250000000 
 0.8750000000   0.3750000000   0.8750000000 
 0.6250000000   0.6250000000   0.1250000000 
 0.8750000000   0.8750000000   0.3750000000 
 0.6250000000   0.6250000000   0.6250000000 
 0.8750000000   0.8750000000   0.8750000000

Atoms 1-16 are Ni, and atoms 17-32 are O.

Note that the Ni atoms are split into two groups: atom 1, and atom 2-15. This trick breaks the symmetry of the Ni sub-lattice and allows us to treat atom 1 differently from atom 2-15. Our POTCAR file has to reflect the fact that we now formally have 3 "species" (2 ×Ni + 1×O), i.e., we concatenate two Ni POTCAR files and one O POTCAR file:

cat Ni/POTCAR Ni/POTCAR O/POTCAR > POTCAR

To check whether you have a suitable POTCAR type:

grep TITEL POTCAR

This should yield something like:

   TITEL  = PAW Ni 02Aug2007
   TITEL  = PAW Ni 02Aug2007
   TITEL  = PAW O 22Mar2012

i.e., two Ni entries followed by one O entry.

KPOINTS

Gamma only
 0
Monkhorst
 1 1 1 
 0 0 0

The DFT groudstate

We will calculate the DFT ground state of our NiO system with the following INCAR:

SYSTEM       = NiO AFM 

PREC         = A

EDIFF        = 1E-6

ISMEAR       = 0
SIGMA        = 0.2

ISPIN        = 2
MAGMOM       = 1.0 -1.0  1.0 -1.0  \
               1.0 -1.0  1.0 -1.0  \
               1.0 -1.0  1.0 -1.0  \
               1.0 -1.0  1.0 -1.0  \
               16*0.0

LORBIT       = 11

LMAXMIX      = 4 

Instrumental here is that we correctly specify the initial magnetic moments (by means of MAGMOM-tag). The setting above is consistent with the AFM-II magnetic structure: alternating ferromagnetic Ni (111)-layers.

Secondly, we set LORBIT=11: at the end of the OUTCAR file, VASP will write the number of (d-) electrons per site. This information we will need to compute the U-parameter.

Last but not least, we set LMAXMIX=4: this is needed to be able to perform non-selfconsistent (ICHARG=11) DFT+U calculations (LDAUTYPE=3) in the following. For this reason we will keep a copy of the CHGCAR file (and the WAVECAR file as well):

cp CHGCAR  CHGCAR.0
cp WAVECAR WAVECAR.0


The information most relevant to the task at hand you will find near the end of the OUTCAR file:

 total charge

# of ion       s       p       d       tot  
------------------------------------------
    1        0.342   0.490   8.439   9.270
    2        0.342   0.490   8.438   9.269
    3        0.342   0.490   8.438   9.270
    4        0.342   0.490   8.438   9.269
    5        0.342   0.490   8.438   9.270
    6        0.342   0.490   8.438   9.269
    7        0.342   0.490   8.438   9.269
    8        0.342   0.490   8.438   9.269
    9        0.342   0.490   8.438   9.270
   10        0.342   0.490   8.438   9.269
   11        0.342   0.490   8.438   9.269
   12        0.342   0.490   8.438   9.269
   13        0.342   0.490   8.438   9.269
   14        0.342   0.490   8.438   9.269
   15        0.342   0.490   8.438   9.269
   16        0.342   0.490   8.438   9.269
   17        1.564   3.455   0.000   5.019
   18        1.564   3.455   0.000   5.019
.
.
.
 magnetization (x)

# of ion       s       p       d       tot
------------------------------------------
    1        0.001  -0.020   1.098   1.079
    2       -0.001   0.020  -1.098  -1.080
    3        0.001  -0.020   1.098   1.079
    4       -0.001   0.020  -1.098  -1.080
    5        0.001  -0.020   1.098   1.079
    6       -0.001   0.020  -1.098  -1.080
    7        0.001  -0.020   1.098   1.080
    8       -0.001   0.020  -1.098  -1.080
    9        0.001  -0.020   1.098   1.079
   10       -0.001   0.020  -1.098  -1.080
   11        0.001  -0.020   1.098   1.080
   12       -0.001   0.020  -1.098  -1.080
   13        0.001  -0.020   1.098   1.080
   14       -0.001   0.020  -1.098  -1.080
   15        0.001  -0.020   1.098   1.080
   16       -0.001   0.020  -1.098  -1.080
   17       -0.000   0.000   0.000   0.000
   18        0.000  -0.000   0.000  -0.000
   19        0.000  -0.000   0.000  -0.000

.
.
.

This shows that in the DFT grounstate mostlyd-electrons are attributed to atomic sites 1-16 with anti-ferromagnetic ordering.

Non-selfconsistent response

The next step is to calculate the following response function:

[math]\displaystyle{ \chi^0_{IJ}=\frac{\partial N^{\rm NSCF}_{I}}{\partial V_{J}} }[/math]

This is the change in the number of d-electrons on site I due to an additional spherical potential acting on the d-manifold on site J. In the following we will assume this response to be zero unless I=J.

To add an additional spherical potential on the site of atom 1 that acts on the d-manifold we specify the following:

LDAU         = .TRUE.
LDAUTYPE     =  3
LDAUL        =  2 -1 -1
LDAUU        =  0.10 0.00 0.00
LDAUJ        =  0.10 0.00 0.00

Note that for LDAUTYPE=3 the LDAUU and LDAUJ tags specify the strength (in eV) of the spherical potential acting on the spin-up and spin-down d-manifolds, respectively.

In the present step, we want to calculate the non-selfconsistent response to this additional potential. This is done by reading the charge density from the previous DFT ground-state calculations and by keeping it fixed during the electronic minimization procedure:

ICHARG       = 11

N.B.: be sure to use the charge density of the DFT groundstate calculation:

cp CHGCAR.0  CHGCAR
cp WAVECAR.0 WAVECAR

After running this calculation, you will notice that due to the additional potential, the number of d-electrons on atom 1 has changed w.r.t. the DFT groundstate (check the OUTCAR file again):

 total charge

# of ion       s       p       d       tot
------------------------------------------
    1        0.342   0.490   8.488   9.319
    2        0.342   0.489   8.432   9.263
    3        0.342   0.490   8.438   9.269
    4        0.342   0.490   8.438   9.269
    5        0.342   0.490   8.438   9.269
    6        0.342   0.490   8.438   9.269
    7        0.342   0.490   8.435   9.266
    8        0.342   0.490   8.438   9.269
    9        0.342   0.490   8.438   9.269
   10        0.342   0.490   8.438   9.269
   11        0.342   0.490   8.435   9.266
   12        0.342   0.490   8.438   9.269
   13        0.342   0.490   8.435   9.266
   14        0.342   0.490   8.438   9.269
   15        0.342   0.490   8.430   9.261
   16        0.342   0.489   8.432   9.263
   17        1.564   3.455   0.000   5.019
   18        1.564   3.455   0.000   5.018
   19        1.564   3.454   0.000   5.018
   20        1.564   3.454   0.000   5.018
   21        1.564   3.454   0.000   5.018
   22        1.564   3.454   0.000   5.018
   23        1.564   3.454   0.000   5.018
   24        1.564   3.454   0.000   5.018
   25        1.564   3.454   0.000   5.018
   26        1.564   3.454   0.000   5.018
   27        1.564   3.454   0.000   5.018
   28        1.564   3.454   0.000   5.018
   29        1.564   3.454   0.000   5.018
   30        1.564   3.454   0.000   5.018
   31        1.564   3.455   0.000   5.018
   32        1.564   3.455   0.000   5.019
--------------------------------------------------
tot         30.488  63.101 135.027 228.617

The change in the number of d-electrons on atomic site 1 is found to be:

[math]\displaystyle{ \Delta N^{\rm NSCF}_1= 4.488 - 4.438 = 0.050 }[/math]

and hence

[math]\displaystyle{ \chi^0_{11} = \frac{0.050}{0.1} = 0.50 \; (eV)^{-1} }[/math]

Selfconsistent response

The selfconsistent reponse function:

[math]\displaystyle{ \chi_{IJ}=\frac{\partial N^{\rm SCF}_{I}}{\partial V_{J}} }[/math]

is computed similarly:

LDAU         = .TRUE.
LDAUTYPE     =  3
LDAUL        =  2 -1 -1
LDAUU        =  0.10 0.00 0.00
LDAUJ        =  0.10 0.00 0.00

N.B.I: The only difference between this calculation and the previous calculation of the non-selfconsistent response is that now we do not set ICHARG=11, i.e, now the charge density may change.

N.B.II: To speed things up, it is a good idea to restart this calculation from the WAVECAR file of the previous non-selfconsistent response calculation.

After this calculation has finished, you should again inspect the number of d-electrons on atomic site 1:

 total charge

# of ion       s       p       d       tot
------------------------------------------
    1        0.341   0.488   8.452   9.281
    2        0.342   0.490   8.438   9.269
    3        0.342   0.490   8.438   9.269
    4        0.342   0.490   8.438   9.269
    5        0.342   0.490   8.438   9.269
    6        0.342   0.490   8.438   9.269
    7        0.342   0.490   8.438   9.269
    8        0.342   0.490   8.438   9.269
    9        0.342   0.490   8.438   9.269
   10        0.342   0.490   8.438   9.269
   11        0.342   0.490   8.438   9.269
   12        0.342   0.490   8.438   9.269
   13        0.342   0.490   8.438   9.269
   14        0.342   0.490   8.438   9.269
   15        0.342   0.490   8.438   9.269
   16        0.342   0.490   8.438   9.269
   17        1.564   3.455   0.000   5.019
   18        1.564   3.455   0.000   5.019
   19        1.564   3.455   0.000   5.018
   20        1.564   3.455   0.000   5.019
   21        1.564   3.455   0.000   5.018
   22        1.564   3.455   0.000   5.019
   23        1.564   3.455   0.000   5.019
   24        1.564   3.455   0.000   5.018
   25        1.564   3.455   0.000   5.018
   26        1.564   3.455   0.000   5.019
   27        1.564   3.455   0.000   5.019
   28        1.564   3.455   0.000   5.018
   29        1.564   3.455   0.000   5.019
   30        1.564   3.455   0.000   5.018
   31        1.564   3.455   0.000   5.019
   32        1.564   3.455   0.000   5.019
--------------------------------------------------
tot         30.488  63.107 135.022 228.617

The change in the number of d-electrons on atomic site 1 is found to be:

[math]\displaystyle{ \Delta N^{\rm NSCF}_1= 4.452 - 4.438 = 0.012 }[/math]

and hence

[math]\displaystyle{ \chi_{11} = \frac{0.012}{0.1} = 0.12 \; (eV)^{-1} }[/math]

The final result

After we have computed both the non-selfconsistent as well as the selfconsistent response functions, the U parameter for the DFT+U treatment of Ni d-electrons in NiO is found from:

[math]\displaystyle{ U = \chi^{-1}-\chi_0^{-1} \approx \left(\frac{\partial N^{\rm SCF}_{I}}{\partial V_{I}}\right)^{-1} - \left(\frac{\partial N^{\rm NSCF}_{I}}{\partial V_{I}}\right)^{-1} = \frac{1}{0.12}-\frac{1}{0.5} = 6.33 \; eV }[/math]


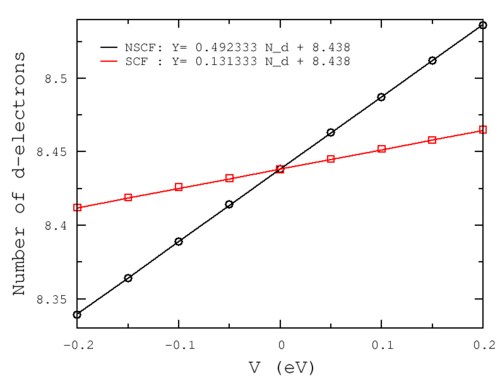
To get a more accurate result, one should repeat the previous calculations for a series of different additional potentials (for instance, LDAUU = LDAUJ = -0.2, -0.15, -0.10, -0.05, 0.05, 0.10 ,0.15, and 0.20 eV). All necessary steps are scripted in doall.sh in the tgz-file below.

The relevant response functions are then easily found from a linear fit of the number of d-electrons on atomic site 1 as a function of the additional potential V:

From the above, we then have:

[math]\displaystyle{ U = \chi^{-1}-\chi_0^{-1} \approx \left(\frac{\partial N^{\rm SCF}_{I}}{\partial V_{I}}\right)^{-1} - \left(\frac{\partial N^{\rm NSCF}_{I}}{\partial V_{I}}\right)^{-1} = \frac{1}{0.131333}-\frac{1}{0.492333} = 5.58 \; eV }[/math]

Download

NiO_calcU.tgz

References