File:Dft dmft tutorial 4.png

From VASP Wiki

Original file(882 × 449 pixels, file size: 49 KB, MIME type: image/png)

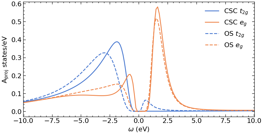
Ni-d projected local spectral function

File history

Click on a date/time to view the file as it appeared at that time.

Date/TimeThumbnailDimensionsUserComment
current09:08, 27 February 2025Thumbnail for version as of 09:08, 27 February 2025882 × 449 (49 KB)Hampel (talk | contribs)
08:53, 27 February 2025Thumbnail for version as of 08:53, 27 February 2025882 × 449 (68 KB)Hampel (talk | contribs)

The following page uses this file: