DFT+DMFT calculations
Density Functional Theory plus Dynamical Mean Field Theory (DFT+DMFT)[1] is an advanced extension of DFT that provides a more accurate treatment of strongly correlated materials compared to the DFT+U: formalism. DFT+DMFT calculations are not within VASP, but VASP allows to interface external DMFT codes. Here, we will guide through the steps to perform a DFT+DMFT calculation using the TRIQS software library[2], more specifically the TRIQS/solid_dmft software[3]. In this following HowTo we will calculate the local spectral function [math]\displaystyle{ A(\omega) }[/math] of NiO using DMFT.
| Mind: Available as of VASP 6.5.0 |
Theory overview
Similarly to the GW method DFT+DMFT relies on the Green's functions formalism. But, in contrast to GW DMFT is working on a projected sub-space of the KS states, much like DFT+U: formalism. The projection is performed in VASP in the same way it is done for the LDAU tag by projecting the KS states on localized orbitals provided by the PAW formalism:
[math]\displaystyle{ P^{\mathbf{R}}_{L,\nu}(\mathbf{k}) = \sum_i \langle \chi^{\mathbf{R}}_L | \phi_i \rangle \langle \tilde{p}_i | \tilde{\Psi}_{\nu \mathbf{k}} \rangle, }[/math]
where [math]\displaystyle{ |\chi^{\mathbf{R}}_L\rangle }[/math] are localized basis functions associated with each correlated site R, [math]\displaystyle{ |\phi_i \rangle }[/math] are all-electron partial waves, and [math]\displaystyle{ | \tilde{p}_i\rangle }[/math] are the standard PAW projectors. These raw projectors are orthonormalized and connect the KS basis [math]\displaystyle{ \nu }[/math] with the localized orbitals [math]\displaystyle{ m }[/math]: [math]\displaystyle{ P^{\mathbf{R}}_{m,\nu}(\mathbf{k}) }[/math].[4]
In DFT+DMFT theory the central quantity is the lattice Green's function:
[math]\displaystyle{ G_{\nu \nu{\prime}}(\mathbf{k}, i\omega_n) = \left[ \left( i\omega_n + \mu - \varepsilon_{\nu \mathbf{k}} \right) \hat{\mathbb{I}} - \hat{\Sigma}^{\text{KS}}(\mathbf{k}, i\omega_n) \right]^{-1}_{\nu \nu{\prime}}. }[/math]
where [math]\displaystyle{ \varepsilon_{\nu \mathbf{k}} }[/math] are the KS eigenvalues, [math]\displaystyle{ \mu }[/math] is the chemical potential, and [math]\displaystyle{ \hat{\Sigma}^{\text{KS}}(\mathbf{k}, i\omega_n) }[/math] is the DMFT calculated self-energy embedded in the KS space. The self-energy contains the electron correlation effects calculated by DMFT. The DMFT equations are solved in the localized basis and then embedded via the projector functions:
[math]\displaystyle{ \hat{\Sigma}^{\text{KS}}(\mathbf{k}, i\omega_n) = \sum_{\nu\nu{\prime}} |\Psi_{\nu \mathbf{k}}\rangle \langle \Psi_{\nu{\prime} \mathbf{k}}| \cdot \sum_{mm{\prime}} P^*_{\nu, m}(\mathbf{k}) \Sigma^\text{imp}_{mm{\prime}}(i\omega_n) P_{m{\prime}, \nu{\prime}}(\mathbf{k}) . }[/math]
The self-energy in DMFT is obtained by first extracting the local Green's function (with an initial guess of [math]\displaystyle{ \Sigma^\text{imp} }[/math]) in the localized basis:
[math]\displaystyle{ G^{\text{loc}}_{m m'}(i\omega_n) = \sum_{\mathbf{k}} \sum_{\nu \nu'} P_{m \nu}(\mathbf{k}) G_{\nu \nu'}(\mathbf{k}, i\omega_n) P^*_{m' \nu'}(\mathbf{k}) }[/math]
from which we extract a dynamic Weiss field [math]\displaystyle{ \mathcal{G} }[/math]:
[math]\displaystyle{ \mathcal{G}_{m m '} = \left( \left[ \mathbf{G}^\text{loc} \right]^{-1} + \mathbf{\Sigma}^\text{imp} \right)^{-1}_{m m'} }[/math]
that is used in DMFT to construct an Anderson impurity model, by supplying a local many body Hamiltonian incorporating the local energy levels plus the interaction Hamiltonian. By solving the Anderson impurity problem we obtain the impurity Green's function [math]\displaystyle{ G^\text{imp}_{m m'} }[/math] and the impurity self-energy [math]\displaystyle{ \Sigma^\text{imp}_{m m'} }[/math] via Dysons equations:
[math]\displaystyle{ \Sigma^\text{imp}_{m m'} = \left[ \mathbf{\mathcal{G}} \right]^{-1}_{m m'} - \left[ \mathbf{G}^\text{imp} \right]^{-1}_{m m'} }[/math]
This procedure is iterated until the DMFT self-consistency condition is satisfied:
[math]\displaystyle{ |G^{imp}-G^{loc}| \rightarrow 0 }[/math].
Importantly, there is a second self-consistency condition for combined DFT+DMFT calculations. From the lattice Green's function a density matrix can be computed:
[math]\displaystyle{ N_{\nu \nu'} (\mathbf{k}) = \frac{1}{\beta} \sum_{i \omega_n} G_{\nu \nu'}(\mathbf{k}, i\omega_n) }[/math]
that is related to the DFT density by:
[math]\displaystyle{ \rho(\mathbf{r}) = \sum_{\mathbf{k}} \sum_{\nu \nu'} \langle \mathbf{r} | \Psi_{\nu \mathbf{k}} \rangle N_{\nu \nu'}(\mathbf{k}) \langle \Psi_{\nu' \mathbf{k}} | \mathbf{r} \rangle }[/math]
This implies that both the DFT charge density and the obtained DMFT density matrix have to coincide as well. This condition implies that we do have to perform a charge density update after each DMFT step (ICHARG=5). These calculation are called charge self-consistent (CSC) DFT+DMFT calculations. Without the extra CSC steps one refers to the DMFT calculations as one shot (OS).
From the final self-energy or Green's function the spectral function (similar to the DOS in DFT) can be computed, which can be compared to photo emission spectroscopy. DFT+DMFT also allows to calculate other spectral properties and structural properties. See Ref.[1] for more information.
technical requirements
To follow the tutorial VASP has to be compiled with HDF5 support and should be newer than version 6.5.0. Additionally TRIQS has to be installed including its applications ctseg, maxent, dft_tools, and solid_dmft. See the following installation instructions. TRIQS can easiest be obtained via conda.
Step-by-step tutorial
NiO is a charge-transfer insulator that becomes anti-ferromagnetic at low temperatures. At higher temperatures NiO is para-magnetic and a prototypical Mott insulator. In the tutorial NiO LSDA+U DFT+U is used to calculate the low temperature magnetic state of NiO. Here, we will calculate the Mott insulating state at higher temperatures using DFT+DMFT.
Step 1: Perform a SCF DFT calculation
First we will perform a SCF DFT calculation to converge the KS wavefunction and project the KS states on localized Ni-d orbitals. We will later use the Ni-d projectors for DMFT. The POSCAR file is:
NiO 4.17 0.0000000000 0.5000000000 0.5000000000 0.5000000000 0.0000000000 0.5000000000 0.5000000000 0.5000000000 0.0000000000 Ni O 1 1 Direct 0.0000000000 0.0000000000 0.0000000000 0.5000000000 0.5000000000 0.5000000000
The KPOINTS file is:
Automatically generated mesh 0 G 15 15 15
For the POTCAR we are using the 'Ni_pv' and the 'O' pseudopotentials. The INCAR file is:
SYSTEM = NiO ISMEAR = -5 SIGMA = 0.01 EDIFF = 1.E-10 NELMIN = 35 NBANDS = 32 LORBIT = 14 LMAXMIX = 4 EMIN = -6 EMAX = 18 NEDOS = 5001 # project to Ni d and O p states LORBIT = 14 LOCPROJ = 1 : d : Pr
Importantly, we specify the projectors to be created via the LOCPROJ tag for the Ni-d orbitals. Additionally, we specify the LORBIT tag to be 14 to optimize the projectors in the given energy range EMIN to EMAX. The number of bands is slightly increased and the convergence criteria a stringent to converge the KS wavefunction (RMS). The end of the std out should look like this:
DAV: 34 -0.113700647767E+02 -0.45929E-10 0.41728E-14 3960 0.357E-11 0.670E-04
DAV: 35 -0.113700647767E+02 0.36380E-11 0.12336E-13 3960 0.224E-11
LOCPROJ mode
Computing AMN (projections onto localized orbitals)
1 F= -.11370065E+02 E0= -.11370065E+02 d E =0.000000E+00
writing wavefunctions
Note here the LOCPROJ mode message. Afterwards the projections are stored in the file vaspgamma.h5 and LOCPROJ.
Step 2: convert the VASP output to TRIQS input
We will use the converter tool inside of TRIQS/dft_tools to convert the VASP output to a TRIQS input file. To do so we prepare a config file plo.cfg with the following content:
[General]
DOSMESH = -10 10 3001
[Group 1]
SHELLS = 1
EWINDOW = -10 10
BANDS = 5 14
[Shell 1] # Ni d shell
LSHELL = 2
IONS = 1
CORR = True
TRANSFORM = 1.0 0.0 0.0 0.0 0.0
0.0 1.0 0.0 0.0 0.0
0.0 0.0 1.0 0.0 0.0
0.0 0.0 0.0 1.0 0.0
0.0 0.0 0.0 0.0 1.0
For details on the config file see the DFT tools documentation. The converter can be run by creating a small python script with the following content:
from triqs_dft_tools.converters.vasp import VaspConverter
import triqs_dft_tools.converters.plovasp.converter as plo_converter
# Generate and store PLOs
plo_converter.generate_and_output_as_text('plo.cfg', vasp_dir='./')
# run the converter
Converter = VaspConverter(filename = 'vasp')
Converter.convert_dft_input()
Running the python script via python converter.py will create the input file vasp.h5 that can be used for the DMFT calculation. The std output contains now information about the localized orbitals. For example the on-site density matrix is printed:
Density matrix:
Shell 1
Site diag : True
Site 1
1.9541777 0.0000065 0.0000335 0.0000138 -0.0000181
0.0000065 1.9541833 -0.0000361 0.0000068 0.0000650
0.0000335 -0.0000361 1.2867504 0.0000023 -0.0000827
0.0000138 0.0000068 0.0000023 1.9541790 -0.0000303
-0.0000181 0.0000650 -0.0000827 -0.0000303 1.2868509
trace: 8.43614117771427
Impurity density: 8.43614117771427
We can plot the DOS from VASP together with the DOS of the projected orbitals from VASP:

capturing the Ni-d orbital character.
Step 3: Perform a DMFT calculation
Copy the vasp.h5 file to a new directory. Now we perform first a one-shot DMFT calculation to converge the self-energy, before performing charge density updates with VASP. To perform the DMFT calculation we will use the TRIQS/solid_dmft. In general TRIQS is only a framework which allows the user large flexibility to design their own workflows for DMFT calculations or other methods. However, we will leverage on solid_dmft flagship implementation of DMFT in TRIQS, which works by providing a toml config file and executing solid_dmft. The following config file prepares the DMFT calculation to solve the DMFT equation with U=8 eV and J=1.0 eV, which are typical values for NiO (compare with the NiO LSDA+U howto). Create the 'dmft_config.toml' file with the following content:
[general] seedname = "vasp" jobname = "U8.0-J1.0-beta20-qmc1e+7" prec_mu = 0.001 n_iw = 501 n_tau = 10001 h_int_type = "density_density" h_int_basis = "vasp" U = 8.0 J = 1.0 beta = 20 n_iter_dmft = 12 dc_type = 0 dc = true dc_dmft = false h5_save_freq = 1 [solver] type = "ctseg" length_cycle = 500 n_warmup_cycles = 1e+4 n_cycles_tot = 1e+7 perform_tail_fit = true fit_max_moment = 4 fit_min_w = 20 fit_max_w = 30 [advanced] dc_fixed_value = 59.0
Importantly, we specify the temperature of the calculation via the option 'beta=20' 1/eV to be half of room temperature, U/J are set to the aforementioned values, the seedname and jobname specify the input file and the output directory in which the calculation will be performed, and n_iter_dmft specifies the number of DMFT iterations to be performed. The section [solver] specifies the solver to be used, in this case we use the CTSEG solver, and its parameters. Importantly, the ctseg solver is a QMC impurity solver operating on the Matsubara axis. Please refer to the solid_dmft documentation for more details on the parameters. The QMC solver parallelizes very well over MPI and we request 1e+7 Monte Carlo steps.
To perform the DMFT calculation we run the following command:
mpirun solid_dmft 1>out 2>err &
which will run the DMFT calculation in the background. Check the file out for the output of the calculation. Importantly, solid_dmft will create a directory jobname in which the file observables_imp0.dat can be found that monitors the most important observables per iteration. On 32 cores the calculation should take around 10 minutes, and the observables file should look like this:
it | mu | G(beta/2) per orbital | orbital occs up+down | impurity occ 0 | -0.00247 | -0.00897 -0.11937 | 1.97871 1.29990 | 8.53594 1 | -0.00247 | -0.00084 -0.01573 | 1.99582 1.11247 | 8.21241 . . ... ... . 8 | 0.05280 | -0.00005 -0.00007 | 1.85604 1.30080 | 8.16972 9 | 0.04979 | -0.00004 -0.00007 | 1.84552 1.31608 | 8.16871 10 | 0.04979 | -0.00005 -0.00015 | 1.86526 1.28894 | 8.17367
The second column shows the chemical potential that is varies in each DMFT iteration to fulfill the electron count of the system. The next columns monitor [math]\displaystyle{ G(\beta/2) }[/math] per localized orbital, which monitors the spectral function at the Fermi level, to indicate metallic or insulating behavior. The last columns show the orbital occupations and the impurity occupation. The convergence can be monitored via the file conv_obs0.dat, which should look like this:
it | δμ | δocc orb | δimp occ | δGimp | δG0 | δΣ 1 | 0.00000e+00 | 1.87428e-01 | 3.23528e-01 | 9.60779e-01 | 1.57707e-01 | 1.08102e+01 2 | 1.01166e-01 | 1.40548e-02 | 2.02550e-02 | 1.13418e-01 | 2.72140e-04 | 4.85790e+00 3 | 0.00000e+00 | ... 1.17895e-01 | 1.66725e-02 | 7.43751e-02 | 1.56353e-05 | 5.93806e+00 4 | 1.73021e-02 | 1.30454e-02 | 3.10489e-03 | 1.33409e-02 | 4.43484e-05 | 2.73892e+00 5 | 1.80218e-02 | 5.53206e-02 | 6.96508e-03 | 3.57827e-02 | 4.51748e-05 | 7.35875e+00 6 | 1.05675e-02 | 1.23957e-02 | 1.01379e-04 | 8.96967e-03 | 2.69797e-05 | 3.46404e+00 ...
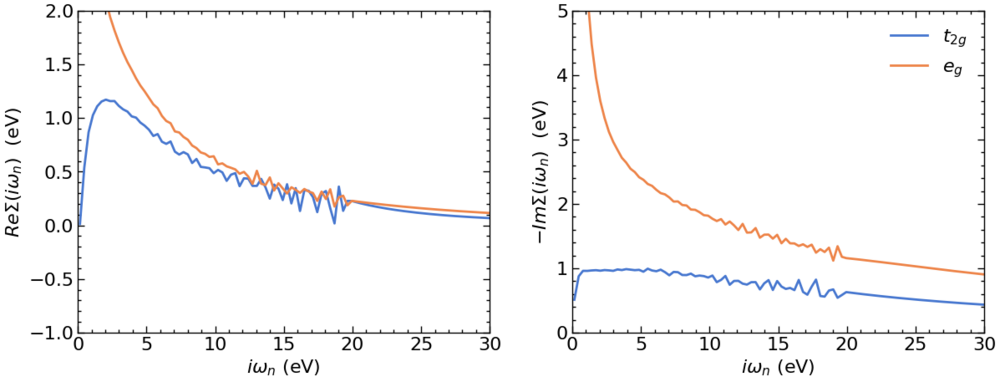
Important is the 'δGimp' column, which shows the DMFT self-consistency condition, but also the first column 'δμ' which shows the convergence of the chemical potential. The converged self-energy is stored along all other calculated properties in the file 'jobname/seedname.h5'. You can for example plot the self-energy for the Ni eg and t2g orbitals with the following code using the small helper functions on the bottom:
with HDFArchive('dmft_os/U8.0-J1.0-beta20-qmc2e+7/vasp.h5','r') as ar:
S_os_iw = ar['DMFT_results/last_iter/Sigma_freq_0']
fig, ax = plt.subplots(1,2, figsize=(14,5), dpi=100, sharex=True) ax = ax.reshape(-1)
plot_sigma_iw(S_os_iw['up_0'],ax,color='C0',label='$t_{2g}$',marker='-')
plot_sigma_iw(S_os_iw['up_2'],ax,color='C1',label='$e_{g}$',marker='-')
ax[0].set_xlim(0,30) ax[0].set_ylim(-1,2) ax[1].set_ylim(0,5)
plt.legend() plt.show()
The plot should look similar to this:
Step 4: Perform a CSC DFT+DMFT calculation
Now we are ready to perform a CSC DFT+DMFT calculation. We create a new directory for the calculation and copy the following files into it: INCAR, POSCAR, KPOINTS, POTCAR, plo.cfg, CHGCAR, WAVECAR, and dmft_config.toml. solid_dmft will run VASP for us, but we do have to specify how it is run by adding the following section to the `dmft_config.toml` file:
[dft] plo_cfg = "plo.cfg" dft_code = "vasp" projector_type = "plo" n_iter = 4 n_cores = 32 mpi_env = "default" mpi_exe = "/path/to/mpirun" dft_exec = "/path/to/bin/vasp_std"
Here, you have to change the mpi executable and VASP executable path. Also make sure to adjust the number of cores to be used for the DFT calculations via the `n_cores` option. Since VASP is performing an iterative SCF calculation updating the charge density while the KS states are converged we perform a few SCF steps between each DMFT call to converge the KS states with the new charge density from DMFT via `n_iter`. Also change the following options in the `dmft_config.toml` file:
csc = true n_iter_dmft_first = 2 n_iter_dmft_per = 2 n_iter_dmft = 20
load_sigma = true path_to_sigma = "/path/to/dmft-os/U8.0-J1.0-beta20-qmc1e+7/vasp.h5"
This will load the sigma from the file `vasp.h5` in the folder `dmft-os/U8.0-J1.0-beta20-qmc1e+7` and instruct solid_dmft to perform a CSC calculation. Now run the calculation via `mpirun solid_dmft 1>out 2>err &`. Check the directory for the std output and all related DMFT files. You can see that after each 2 DMFT iterations VASP is called to update the KS states for the new charge density. In the observables file you will find that the orbital occupation of orbitals now slightly changes from the OS calculation, showing the effect of charge self-consistency:
it | mu | G(beta/2) per orbital | orbital occs up+down | impurity occ 0 | 0.00278 | -0.00754 -0.00754 -0.10744 -0.00754 -0.10744 | 1.95350 1.95349 1.28826 1.95350 1.28826 | 8.43701 1 | 0.04795 | -0.00030 -0.00030 -0.00142 -0.00030 -0.00142 | 1.90322 1.90322 1.22302 1.90322 1.22302 | 8.15570 2 | 0.03410 | -0.00003 -0.00003 -0.00136 -0.00003 -0.00136 | 1.88208 1.88208 1.25063 1.88208 1.25063 | 8.14749 3 | 0.00424 | -0.00109 -0.00109 -0.00015 -0.00109 -0.00015 | 1.97017 1.97017 1.15925 1.97017 1.15925 | 8.22899 4 | 0.00043 | -0.00011 -0.00011 -0.00023 -0.00011 -0.00023 | 1.97342 1.97342 1.15596 1.97342 1.15596 | 8.23216 5 | -0.00020 | -0.00003 -0.00003 -0.00039 -0.00003 -0.00039 | 1.98029 1.98029 1.15228 1.98029 1.15228 | 8.24544 6 | 0.01698 | -0.00004 -0.00004 -0.00046 -0.00004 -0.00046 | 1.97936 1.97936 1.15426 1.97936 1.15426 | 8.24661 7 | 0.01372 | -0.00003 -0.00003 -0.00059 -0.00003 -0.00059 | 1.98226 1.98226 1.15015 1.98226 1.15015 | 8.24707 8 | 0.01372 | -0.00096 -0.00096 -0.00069 -0.00096 -0.00069 | 1.98189 1.98189 1.15061 1.98189 1.15061 | 8.24690 9 | 0.01467 | -0.00035 -0.00035 -0.00076 -0.00035 -0.00076 | 1.98407 1.98407 1.14760 1.98407 1.14760 | 8.24740
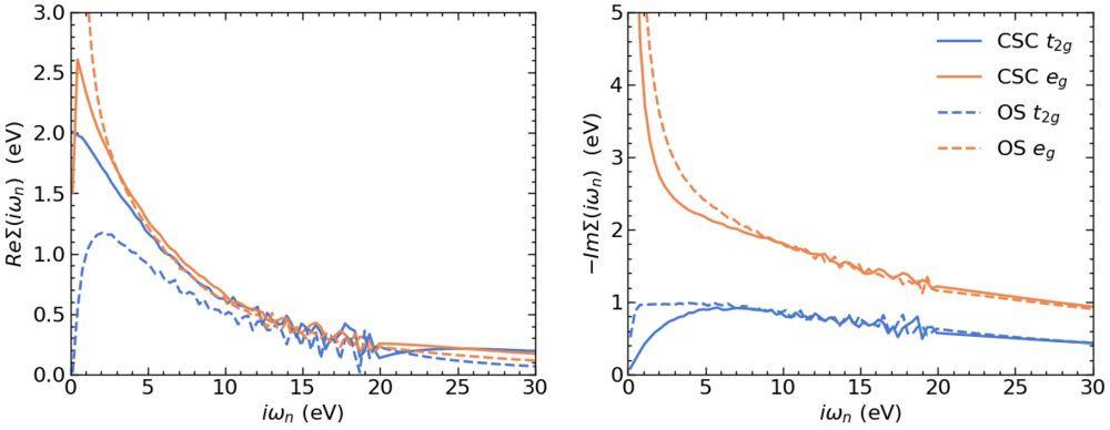
The difference is also visible in the final self-energy comparing OS with CSC:
The eg orbital is now closer to half filling and thus more insulating. The large self-energy for [math]\displaystyle{ i \omega_n \rightarrow 0 }[/math] is signaling a pole in the self-energy at [math]\displaystyle{ \omega=0 }[/math] typical for a Mott insulator.
Step 5: calculating the local spectral function
Now we are ready to calculate the local spectral function [math]\displaystyle{ A(\omega) }[/math] of NiO for the Ni-d orbitals. This is the easiest post-processing step, since we can simply calculate the local spectral function by from the impurity Green's function [math]\displaystyle{ G^\text{imp}_{m m'} }[/math]. However, since the impurity solver works on the Matsubara axis, we have to analytically continue the Green's function to the real frequency axis. The analytical continuation is done using the TRIQS/maxent package. Prepare a little script in the calculation folder utilizing the post processing functions of solid_dmft:
import solid_dmft.postprocessing.maxent_gf_imp as gimp_maxent
Aimp_csc_w = gimp_maxent.main(external_path='vasp.h5',
omega_min=-30, omega_max=15,
maxent_error=0.03,
sum_spins=True,
n_points_maxent=400,
n_points_alpha=20)
The script utilizes MPI for parallelization so run it via `mpirun python gimp_maxent.py`. The script will write the local spectral function into the `vasp.h5` file. We can now plot it via the following code:
# load the results
with HDFArchive('dmft_csc/vasp.h5','r') as ar:
A_imp_csc_w = ar['DMFT_results/last_iter/Aimp_maxent_0']
fig, ax = plt.subplots(1,1, figsize=(10,5), dpi=100)
ax.plot(A_imp_csc_w['mesh'], A_imp_csc_w['Aimp_w_line_fit']['total_0'][0,0,:],'-',color='C0',label='Ni $t_{2g}$')
ax.plot(A_imp_csc_w['mesh'], A_imp_csc_w['Aimp_w_line_fit']['total_2'][0,0,:],'-',color='C1',label='Ni $e_{g}$')
ax.set_xlim(-10,10)
ax.set_ylim(0,)
ax.set_ylabel(r'A$_{\text{proj}}$ states/eV')
ax.set_xlabel(r'$\omega$ (eV)')
plt.legend() plt.show()
We can see that the local spectral function is gapped with the [math]\displaystyle{ t_{2g} }[/math] orbitals completely filled (compare with DFT initial occupations), and the [math]\displaystyle{ e_{g} }[/math] orbital being gapped. Importantly this is the summed spectral function for up + down spin, with both channels being degenerate.
Further reading
Similar to DFT DMFT calculations have many parameters that can be tuned. Here, all parameters were carefully chosen to converge the DMFT calculation properly, and close to experiment. Especially, the double counting correction was chosen such that it best fits the experimental data.[5] To learn more about TRIQS visit the TRIQS Python tutorials page. And for more concrete DMFT tutorials see the solid_dmft tutorials.
Helper functions for python
import numpy as np
# plotting
import matplotlib.pyplot as plt
# TRIQS modules
from h5 import HDFArchive
from triqs.gf import *
from triqs.plot.mpl_interface import plt,oplot
def plot_sigma_iw(S_iw, ax, color, label=, marker='-o', subtract=True):
# convert the mesh to a numpy array
mesh = mesh_to_np_arr(S_iw.mesh)
mid = len(mesh)//2
if subtract:
ax[0].plot(mesh[mid:], S_iw.data[mid:,0,0].real-S_iw.data[-1,0,0].real, marker, color = color, label=label)
else:
ax[0].plot(mesh[mid:], S_iw.data[mid:,0,0].real, marker, color = color, label=label)
ax[1].plot(mesh[mid:], -1*S_iw.data[mid:,0,0].imag, marker, color = color, label=label)
ax[0].set_xlabel(r"$i \omega_n$ (eV)")
ax[1].set_xlabel(r"$i \omega_n$ (eV)")
ax[0].set_ylabel(r"$Re \Sigma (i \omega_n)$ (eV)")
ax[1].set_ylabel(r"$- Im \Sigma (i \omega_n)$ (eV)")
return
def plot_sigma_w(S_w, ax, color, label=, marker='-', subtract=True):
mesh = mesh_to_np_arr(S_w.mesh)
mid = len(mesh)//2
if subtract:
ax[0].plot(mesh, S_w.data[:,0,0].real-S_w.data[mid,0,0].real, marker, color = color, label=label)
else:
ax[0].plot(mesh, S_w.data[:,0,0].real, marker, color = color, label=label)
ax[1].plot(mesh, -1*S_w.data[:,0,0].imag, marker, color = color, label=label)
ax[0].set_xlabel(r"$\omega$ (eV)")
ax[1].set_xlabel(r"$\omega$ (eV)")
ax[0].set_ylabel(r"$Re \Sigma (\omega)$ (eV)")
ax[1].set_ylabel(r"$- Im \Sigma (\omega)$ (eV)")
return
def mesh_to_np_arr(mesh):
from triqs.gf import MeshImTime, MeshReFreq, MeshImFreq
if isinstance(mesh, MeshReFreq):
mesh_arr = np.linspace(mesh.w_min, mesh.w_max, len(mesh))
elif isinstance(mesh, MeshImFreq):
mesh_arr = np.linspace(mesh(mesh.first_index()).imag, mesh(mesh.last_index()).imag, len(mesh))
elif isinstance(mesh, MeshImTime):
mesh_arr = np.linspace(0, mesh.beta, len(mesh))
else:
raise AttributeError('input mesh must be either MeshReFreq, MeshImFreq, or MeshImTime')
return mesh_arr
Related tags and articles
vaspgamma.h5, GAMMA, DFT+U: formalism, ICHARG=5
References
- ↑ a b G. Kotliar, S. Y. Savrasov, K. Haule, V. S. Oudovenko, O. Parcollet, and C. A. Marianetti, Electronic structure calculations with dynamical mean-field theory, Rev. Mod. Phys. 78, 865 (2006)
- ↑ O. Parcollet, M. Ferrero, T. Ayral, H. Hafermann, I. Krivenko, L. Messio and P. Seth, Computer Physics Communications 196, 398 (2015).
- ↑ M. E. Merkel, A. Carta, S. Beck and Alexander Hampel, Journal of Open Source Software 7, 77 (2022).
- ↑ M. Schüler, O.E. Peil, G.J. Kraberger, R. Pordzik, M. Marsman, G. Kresse, T.O. Wehling, and M. Aichhorn, J. Phys.: Condens. Matter 30, 475901 (2018).
- ↑ M. Karolak, G. Ulm, T. Wehling, V. Mazurenko, A. Poteryaev, and A. Lichtenstein, Double counting in LDA+DMFT—The example of NiO, J. Electron Spectros. Relat. Phenomena 118, 11 (2010).